
江苏省苏州市人民路3188号18幢1602室

传真 0512-67539649

webmaster@sztcdz.com

133 8218 2805


作为一名材料工程师或研究人员,您深知四探针测试仪是衡量材料电学性能的利器。但得到数据仅仅是第一步,正确地解读报…

摘要:在半导体、新材料及光伏等领域,材料的本征电阻率是衡量其电学性能的关键参数。四探针测量法被国际学界与工业界…

在材料研发和质量控制中,四探针测试仪的测量数据直接影响着产品性能和工艺决策。面对市场上琳琅满目的产品型号,如何…

四探针测试技术在半导体行业的创新应用:从晶圆制造到先进封装的全方位质量守护者 > 精度决定性能,测量推动…

WAT,Wafer Acceptance Test(晶圆验收测试),是用于检测芯片制造工艺参数。 1.WA…

薄膜沉积技术基本原理 薄膜与衬底的相互作用 薄膜沉积过程中,薄膜与其下层材料(衬底)之间的相互作用是影响薄膜质…

碳化硅和氮化镓为典型第三代半导体材料。 第三代半导体材料的特点:禁带宽度大、发光效率高、电子漂移饱和速度高、热…

薄膜沉积技术作为一种重要的材料制备方法,广泛应用于电子器件制造、光学镀膜、新能源领域以及功能性薄膜等诸多领域。…

ITO 薄膜即铟锡氧化物半导体透明导电膜, 通常有两个性能指标:方块电阻(面电阻)和透过率 ITO 薄膜 在氧…

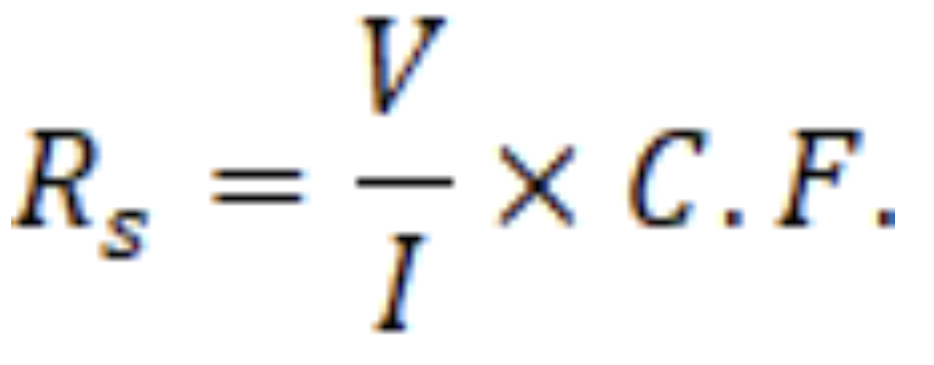
测量导体电阻率的方法是通过一对引线强制电流流过样品,用另一对引线测量其电压降来决定已知几何尺寸的样品的电阻。 …