作为一名材料工程师或研究人员,您深知四探针测试仪是衡量材料电学性能的利器。但得到数据仅仅是第一步,正确地解读报告才是将数据转化为知识的关键。一份完整的报告,远不止一个电阻率或方块电阻值那么简单。
一、 报告的核心:理解两大基本电学参数
首先,我们需要区分报告中最常出现的两个核心参数:方块电阻(Sheet Resistance)和 电阻率(Resistivity)。它们的物理意义和应用场景有本质区别。
1. 方块电阻 (R□ 或 Rs)
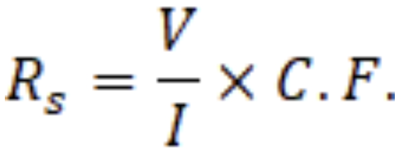
- 定义:方块电阻是表征薄膜材料导电能力的特征参数。它定义为一块正方形的薄膜材料,当其电流方向与正方形一边平行时,该正方形薄膜的电阻值。
- 关键点:对于一个均匀的薄膜,其方块电阻值与正方形的尺寸无关。这意味着,无论这个正方形是1微米×1微米,还是1米×1米,只要薄膜厚度和性质均匀,其方块电阻值就是相同的。
- 计算公式:

- 单位:欧姆每方 (Ω/□或Ohm/sq.)。
- 应用场景:主要用于薄膜类材料,如:半导体扩散层、离子注入层、金属薄膜、ITO导电玻璃、光伏硅片等。它直接关系到薄膜的导电均匀性。
2. 电阻率 (ρ)
- 定义:电阻率是表征体材料导电能力的本征物理量。它只与材料的性质和温度有关,与材料的几何形状无关。
- 计算公式:
- 其中,是薄膜的厚度。
- 单位:欧姆·厘米 (Ω·cm)。
- 应用场景:主要用于块状、棒状等体材料,如:半导体硅锭、晶圆衬底、金属棒等。它是判断材料导电类型和纯度的重要依据。

核心区别总结:方块电阻是一个与厚度相关的“几何相关量”,用于比较同类薄膜的导电性;而电阻率是一个本征参数,用于比较不同材料本身的导电能力。对于薄膜,报告方块电阻更为常用和直接。
二、 超越数值:关注影响精度的关键因子
一份负责任的测试报告,不会只给出一个孤零零的结果。以下信息对于判断数据的可靠性至关重要:
1. 修正因子 (Correction Factor, C.F.)
- 它是什么?一个用于修正样品尺寸、探针间距、探针位置等因素对测量结果影响的乘数。
- 为何重要?理想四探针公式基于“无限大样品”的假设。现实中,有限的样品尺寸和边界效应会使测量产生偏差。应用正确的修正因子,是获得准确数据的前提。
- 如何获得?它通常通过查询基于样品几何形状的修正因子表获得,或由仪器的智能软件在您输入样品尺寸后自动计算。在您的报告中,应明确标注所采用的修正因子值或其来源。
2. 厚度 (Thickness, d)
- 它是什么?对于需要计算电阻率ρ的薄膜测试,必须独立、精确地测量薄膜厚度。
- 为何重要?从公式 可以看出,厚度d的测量误差会1:1地传递到电阻率ρ的最终结果中。厚度测量的准确性直接决定了电阻率结果的准确性。
- 报告体现:报告中应注明该厚度值的测量方法和来源(如:台阶仪等)。
3. 导电类型 (Conductivity Type)
- 它是什么?标识材料是N型(电子导电)还是P型(空穴导电)。
- 为何重要?对于半导体工艺至关重要。此数据通常不是由标准四探针法直接测得的,而是通过额外的热探针法或霍尔效应测试来确定。如果您的报告包含了这一项,请确认测试方法是可靠的。
三、 报告单深度解析:从单点测量到面分析
现代先进的四探针测试仪(如同创电子的某些型号)提供的远不止单点测量。
1. 映射图 (将一批样品或一个样品上多个测点的数据按顺序排列而成的折线图。)
- 它是什么?
- 在样品表面进行多点矩阵式测量后,生成的一张方块电阻/电阻率的二维分布彩色云图。
- 如何解读?
- 颜色均匀的区域代表电性能均匀性好。出现特定图案(如中心高、边缘低)可能暗示着工艺问题(如扩散不均)。Mapping是评估薄膜均匀性最直观的工具。
2. 趋势图 (Trend Chart)
- 它是什么?
- 一种将数据点按照时间顺序连接起来形成的图表,其主要目的是直观地展示数据在特定时间段内的变化方向、模式和规律
- 如何解读?
- 用于观察工艺的稳定性。数据的波动直接反映了生产过程的波动。这对于统计过程控制(SPC)至关重要。
四、 实践指南:如何有效审阅您的下一份报告?
我们建议您建立一个系统的审阅流程:
- 确认测试条件:样品信息(材质、尺寸)、探针间距、测试环境(温度、湿度)是否记录准确?
- 核查修正因子:所使用的C.F.是否与我的样品几何形状匹配?
- 审视核心参数:
- 对于薄膜,重点关注方块电阻 (Rs)及其均匀性(如Mapping图或标准差)。
- 对于体材料,在确认厚度准确后,关注电阻率 (ρ)。
- 分析统计结果:关注平均值、最大值、最小值、标准差和均匀性(%)。一个小的标准差和高的均匀性百分比是工艺受控的标志。
- 结合工艺诊断:将测试结果与您的生产工艺参数关联。例如,方块电阻偏高可能意味着扩散浓度不足或薄膜过薄。
结语:
一份四探针测试报告,是您材料电学性能的“体检报告”。每一个数字、每一张图表背后,都诉说着材料的故事。从理解方块电阻与电阻率的根本区别,到审慎核查修正因子与厚度,再到利用面分布图洞察工艺均匀性,科学的解读能帮助您超越表象,触及本质。
苏州同创电子,不仅提供精准可靠的测量设备,更致力于帮助客户深度理解数据价值。我们的专家团队随时准备为您提供报告解读和数据分析的支持,助您优化工艺,提升产品质量。
联系我们
- 苏州同创电子有限公司
- 电话:133 8218 2805
- 官网:www.sztcdz.com




