四探针法是一种简便的测量电阻率的方法。
四探针法测量电阻率有个非常大的优点:它不需要较准,有时用其它方法测量电阻率时还会使用四探针法较准。

一·四探针法测电阻原理介绍:
不同的材料的电阻有不同的计算公式
★检测一般的线性材料
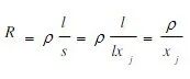
我们常常用电阻来表征某一段传输电流的能力,其满足以下关系式:

图1
其中ρ→材料本身的电阻率,Ⅰ→材料本身的长度,s→材料本身横截面积
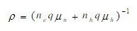
对于某种材料ρ满足关系式:

图2
其中ne→电子浓度,nh→空穴浓度,μn→电子迁移率,μh→空穴迁移率,q→基本电荷量
★检测具有一定导电性能的薄膜材料
具有一定导电性能的薄膜材料沿着平面方向的电荷传输性能一般用方块电阻来表示,对于边长为l、厚度为xj方形薄膜,其方块电阻可表示为:

图3
即方块电阻与电阻率ρ成正比,与膜层厚度xj 成反比,而与正方形边长l无关。
方块电阻一般采用双电测电四探针来测量,测量装置如图4所示,四根由钨丝制成的探针等间距地排成直线,彼此相距为s (一般为几个mm)。
测量时将针尖压在薄膜样品的表面上,外面两根探针通电流Ⅰ(一般选取0.5-2mA ),里面的两探针用来测量电压v,通常利用电位差计测量。

图4 双电测电四探针测量薄膜方块电阻结构简图
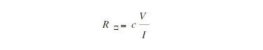
当被测样品的长度和宽度远远大于探针间距,薄膜方块电阻具体表达式为:

图5
即薄膜的方块电阻和外侧探针通电流后在内探针处产生的电位差大小有关。
如果样品的线度相对探针间距大不多时,上式中的系数c必须加以适当的修正,修正值与被测样品的形状和大小有关。
C=4.53(样品长宽 ≥ 40 s,厚度 ≤ 0.4 s,绝缘衬底)
二·四探针法测见问题
Q1:四探针法钼铜合金电阻率未测出结果?
超出设备测试量程,四探针设备的量程是10-5至105Ω·cm,所以有很多样品在测试的时候会出现超量程的情况。
Q2:四探针电阻率测试仪跟粉末电阻率测试仪是一样的吗?
原理是相同的,但是不是同一个设备,粉末电阻率也是用四探针测试的,只是粉末样品直接加压测试,不需要提前压片。
Q3:四探针测试样品没有数据是为什么?
大多数原因是阻值超量程了,导体一般是没问题的。
Q4:电阻率数值的保留小数位数时,小数位数不一致,是设备默认的么,整数的是否是四舍五入过的呢?
设备预设的改不了,如果对小数位数有要求,需要备注清楚,老师这边会手动用公式换算保存同样小数位数,但是个别数据会与仪器计算的有差别。
Q5:四探针电阻率测试,10*12 mm的尺寸可以吗?(样品的尺寸要求是什么?)
可以,样品多大都没问题。
Q6:粉末电阻率测试方法是什么?
也是四探针法,直接粉末进样后,自动压片测试。
四探针法凭借无需校准、操作简便、适应面广的优势,已成为实验室与生产线快速评价材料导电性能的“标尺”。
未来,随着薄膜器件、柔性电子与能源材料的微纳化,四探针技术也必将向更高动态范围、更智能修正、更原位表征的方向升级。
同创电子也将与材料科学一同进步,欢迎购买同创电子四探针测试仪!
联系我们
- 苏州同创电子有限公司
- 电话:133 8218 2805
- 官网:www.sztcdz.com




